1. Introduction
In recent years, China’s economy generally lacks mortgage assets recognized by financial
institutions, and have great uncertainty in operating conditions and profitability
[1,2]. At present, China’s supply chain finance market has a huge development potential,
steady development trend and broad space for development [3,4]. But so far, supply chain finance is still facing many problems [5,6]. For example, the phenomenon of information island in the supply chain is serious,
the authenticity of trade is easy to fake, and the contract constraint strength is
limited. Financing expensive financing difficulties of limited solution strength.
The non-tamper, traceability, high transparency and other characteristics of NSGA-technology
just provide a solution to the core problems in supply chain finance and mutual distrust
between enterprises [7,8]. By establishing a transparent and efficient trust mechanism, the supply chain finance
system has lower operation cost and higher operation efficiency. In the application
of traditional supply chain finance system, due to the difficult to solve the trust
problem among enterprises, the information system among enterprises cannot be exchanged,
resulting in the upstream and downstream information of the supply chain cannot be
effectively coordinated and is quickly transmitted, and there is the problem of information
island [9,10].
In addition, in the traditional supply chain finance, the degree of informatization
is low, the authenticity of the transaction is difficult to confirm, and the cost
of review is high. Based on the above problems, this project puts forward the supply
chain finance model based on NSGA-III, integrates NSGA-technology into the supply
chain finance, and uses the technical characteristics of NSGA-to break the data island,
solve the trust problem, and make the business process and business data transparent
[11,12]. NSGA-technology can be applied to supply chain financial services, which has great
value and great significance to the financial industry. However, as a kind of financial
service, supply chain finance will produce a large amount of real-time data to be
stored, and it has a strong demand for the privacy protection of data [13]. The traditional NSGA system has the characteristics of high redundancy of storage
methods and open transparency of ledger data, which will restrict the integration
of supply chain finance and blockchain [14]. Therefore, this topic studies on the core technology of supply chain finance based
on NSGA-III, and designs the NSGA-data access model based on IPFS and access control
[15,16]. Through IPFS storage, the secure storage of data under the chain and effective verification
on the chain are realized. At the same time, the access control based on the improved
attribute encryption algorithm and the existing multi-channel characteristics of Fabric
alliance chain. Finally, based on the NSGA-based supply chain finance model proposed
in this topic, the supply chain finance service platform system based on NSGA-is designed
and developed [17]. However, due to the poor informatization level of financial institutions and the
long risk analysis process, the financing enterprises that can be covered are very
limited. Often, only the first-level suppliers of core enterprises can obtain credit.
At this stage, financial service providers are not only commercial banks, core enterprises
and other enterprises. Because they are in the same supply chain network and can have
complete supply chain information, they can also be financial service providers. A
multi-agent collaborative supply chain finance platform. At this stage, with the diversification
of the financing needs of SMEs, the supply chain finance business is also complex
[18]. A single institution is difficult to meet the demand of supply chain finance services,
so the supply chain finance platform is born. At this stage, the supply chain finance
presents the characteristics of network and platform. Supply chain finance combined
with fintech. At this stage, the supply chain finance business is integrated with
emerging technologies such as NSGA-III, the Internet of Things and cloud computing,
providing full-chain digital solutions. At present, banks and corporate giants have
joined the fintech research combining fintech and supply chain finance, such as the
ECMO construction launched by the Industrial and Commercial Bank of China under the
“smart Bank” strategy [19,20].
2. NSGA-parallel Algorithm and Validation
2.1. Test Function
Gradient optimization algorithm every result determines the direction of the next
search, so no parallel calculation, difficult to apply to large complex structure
of high dimensional target optimization problem, such as formula (1), (2), and multi-objective optimization algorithm using heuristic algorithm, each generation
of individuals do not influence each other, convenient for parallel computing.
In order to realize the solving process of constructing complex structure with high-dimensional
multi-objective, as shown in Eqs. (3) and (4), the parallel calculation method of joint simulation optimization is proposed to
significantly improve the computing efficiency of the optimizer.
Since the parfor parallel mode in MATLAB is random for the allocation of data in the
parallel pool, and the results of individuals and fitness function need to correspond
one to one, in order to avoid this problem, as shown in Eqs. (5) and (6), this paper builds the optimizer based on the SPMD parallel mode that can obtain
the current thread number, so as to avoid data confusion.
Based on NSGA-III algorithm, the parallel calculation of multi-thread in parallel
pool, so as to realize high dimensional optimization and efficiency improvement of
complex structure. As shown in formula (7), (8), the degree optimization algorithm all results determine the search direction of
the next results, so cannot parallel calculation, difficult to apply to large complex
structure of multi-dimensional optimization problem, and multi-target optimization
algorithm using heuristic algorithm, each generation of individuals does not influence
each other, convenient for parallel computing.
In order to realize the process of high-dimensional multi objective optimization of
complex structure with NSGA III algorithm, to significantly improve the computing
efficiency of the optimizer. As shown in Eqs. (9), (10), the results of individual and fitness function need to correspond one to one, in
order to avoid this problem and avoid data confusion. Based on NSGA-III algorithm,
the parallel calculation of multi-thread in parallel pool, so as to realize high dimensional
optimization and efficiency improvement of complex structure.
2.2. Evaluation Index
When the improved operator is applied to the NSGA III algorithm and combined with
the actual PID control problem, the experimental results prove that the PID controller
optimized by the improved algorithm has shorter adjustment time, optimal steady state
characteristics and dynamic response characteristics. As shown in Eqs. (11) and (12), an adaptive non-dominant sequencing genetic algorithm based on Latin hypercubic
sampling is designed to solve the practical multi-objective optimization problem of
dynamic performance of power system.
The linear adaptive mutation rate is introduced into the NSGA-III algorithm, and this
algorithm with a dynamic update is applied to the reconstruction of the fireball temperature
field. As shown in Eqs. (13), (14), adaptive PCA mutations with n-point crossings were used to improve the ability.
It solves the problem of the computational cost of the fast update of the Pareto front.
Compared with the traditional algorithm on the test function of ten dynamic multi-objective
optimization problems, as shown in Eqs. (15) and (16), the improvement algorithm converges slowly but the solution set performs better.
In DE algorithm design an adaptive adjustment algorithm parameter, by judging whether
the current generation of the trial vector meet the design criteria to dynamically
update the parameters in the algorithm, as (17), (18), the experimental numerical results show that the adaptive strategy of scaling factor
and probability parameters helps to enhance the exploration and development of search
engine.
Then, the scaling factor in the DE algorithm and the cross rate in the cross operation
are adjusted automatically by evaluating the fitness value, and the improved algorithm
is applied to the practical problems of sewage treatment. As shown in Eq. (19), the experimental results show that the improved algorithm has better performance
compared with several other traditional algorithms.
For the multi-target optimization problem, when the number of targets increases, the
number of solutions in the solution concentration increases sharply, as shown in Equation (20), the difficulty of the solution of the problem is greatly increased. At the same
time, due to the competition, collaboration, similarity, and redundancy between different
targets.
3. NSGA-parallel Algorithm based on Variant Operator
3.1. Improvement of the Joint Simulation Calculation Strategy
The Pareto front of multi-objective optimization problems is often not continuously
and uniformly distributed throughout the target space, The traditional evolutionary
algorithm for the regular Pareto frontier is difficult to solve the non-regular Pareto
frontier problem [21,22]. It’s even harder to handle, Challenges to the population diversity and convergence
of the algorithm, How the strategy of the algorithm coordinates these relationships
to meet the needs of efficiency, diversity, convergence, Getting close to the real
Pareto front is difficult in current research, Because the number of targets affects
the solution difficulty, This article refers to the current common division methods,
Subdividing the multi-objective optimization problems into classical multi-objective
optimization problems (with 2,3 goals) and high-dimensional multi-objective optimization
problems (more than 3 and less than 15 targets) [23,24]. The research focus of high-dimensional multi-objective optimization problems can
be divided into the following two types: First, Adopting new preference relationships:
Many alternative preference relationships are currently proposed, Such as the use
of preference sorting (PO) defined sorting program, fuzzy Pareto advantage; second,
Adopt new diversity promotion mechanisms: Due to existing divergent preservation criteria,
Such as the crowded distance, Not suitable for multi-objective problems with more
than 3 targets. Table 1 shows the NSGA-privacy conservation scheme comparison, therefore, a new mechanism
to promote diversity is needed [25,26]. Two diversity management mechanisms are proposed to study their effects on the overall
convergence of target optimization. Aiming at the problem of too many targets and
variables, the multi-target large-scale distributed parallel PSO algorithm is proposed
to make full use of the parallel resources and effectively solve the problem of running
time and optimizing performance [27,28].
Table 1. NSGA-privacy scheme.
|
Top class
|
Point of attack
|
Specific plan
|
|
Network layer
|
IP monitor
|
Shield malicious nodes
|
|
Trading layer
|
Transaction data transparent
|
Data encryption
|
|
Application layer
|
The operation is not standard
|
Select the NSGA-with good completeness
|
The NSGA-III algorithm still has the problem of algorithm performance degradation
in the multi-objective optimization in higher dimensions, When the number of targets
increases, The number of solutions not dominant in the solution concentration rises
sharply, Greatly increase the difficulty of solving the problem, at the same time,
Due to the competition, collaboration, similarity, redundancy among different targets,
Its Pareto frontier is also far behind, How the strategy of the algorithm coordinates
these relationships to meet the needs of efficiency, diversity, convergence, Getting
close to the real Pareto front is difficult in current research, and, Due to the complex
problem, Algorithms fall into the local optima, Unable to find a global optimal potential
to become larger [29,30]. Therefore, improvements to the traditional NSGA-III algorithm are needed. In order
to reduce the calculation time, realize the NSGA-III algorithm build complex structure
high dimensional multi-objective optimization solution process, Fig. 1 for the supply chain finance system global view, this chapter in the NSGA-III algorithm
in each generation of fitness function value process, proposed and establish the parallel
calculation method of joint simulation optimization, on the basis of significantly
improve the efficiency of optimizer computing process, omit parallel computing modeling
process, improve the efficiency of the overall joint simulation process by improving
the solver calculation strategy.
Fig. 1. Global view of the supply chain finance system.
Multithread parallel calculation on the steps of solving the fitness function in a
parallel pool, In calling the solver for the calculations, After establishing the
finite element model, Keep the solver running, Cychanging the thickness real constant
inside the solver, Saving time for building a finite element model, When all individual
calculations for this generation are completed, Return results to MATLAB for iteration
of the optimization algorithm, To achieve high dimensional optimization and efficiency
improvement of complex structure, Through the calculation and test calculation of
the test module model, An individual time was calculated from 153 s∼180 s, A total
of 252 individuals in the first generation, Need for 10.7∼12.6 h, While using the
above parallel method, The first-generation calculation time is about 3.26 h, Increase
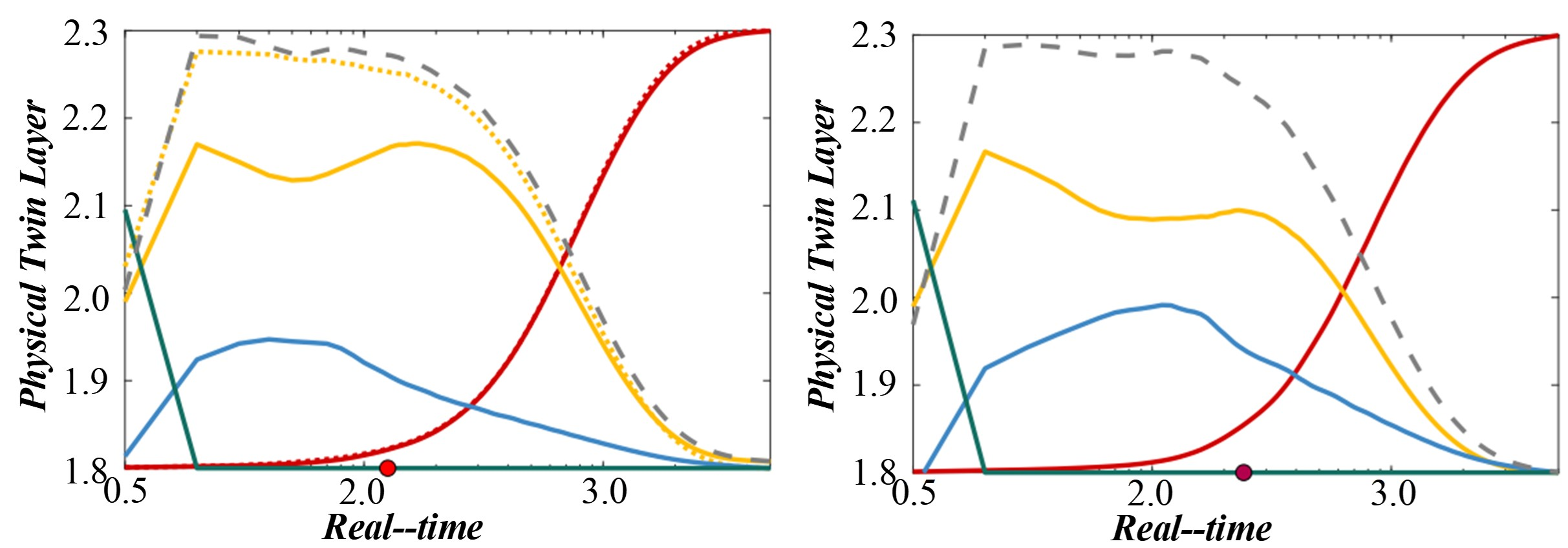
the efficiency by 3 to 4 times. Fig. 2 for the supply chain financial data comparison figure, in view of the traditional
algorithm of the single operator cannot simultaneously achieve global optimal and
maintain the population diversity, this paper puts forward a mixed cross operator
improvement algorithm, and the adaptive adjustment of variation rate, make the algorithm
in the early and late for optimal focus, in order to get a better solution set. A
validation analysis of the algorithm performance is presented below.
Fig. 2. Comparison chart of supply chain finance data.
3.2. The NSGA-improved Algorithm for the Adaptive Hybrid Variation Operator
Traditional multi-objective algorithm fixed rate of mutation operator itself has certain
limits, such as fixed rate of mutation operator mutation rate if set too large, in
the late iteration has more likely to destroy the fitness of higher solution, unable
to keep good solution set, and mutation rate set is too small and cause the algorithm
may be into local optimal solution, cannot reach the forefront of the global optimal
problem, mutation operator in control optimization process and affect the performance
of natural inspired evolution algorithm plays a key role, including single target
evolution algorithm and MOEAs. Therefore, it is important to design an efficient mutant
to improve its performance. As the iteration proceeds, the variation rate gradually
decreases, retaining a larger variation rate during early evolution to increase the
search region, avoiding global optima, and iterating at a smaller variation rate later,
retaining the dominant solution and preventing the inheritance of the population from
being destroyed. Table 2 is mixed mutation operator comparison table, after, because only a single variation
operator may be trapped in the local frontier, this chapter will the idea of mixed
mutation operator also introduced, the basic idea of polynomial mutation (PLM) is
based on a polynomial probability distribution, make the current value of a continuous
variable into an adjacency value. The mean of this distribution at the current value,
and its variance as a function of the exponent of the distribution, is called q. PLM
and its variants have been widely used in MOEAs to improve their performance. Furthermore,
the MNUM operation is introduced into the evolutionary algorithm for global search,
whose mutation range is relatively large, where the MNUM operation is tightened with
the PLM operation for local refinement.
Table 2. Comparable of mixed variant operators.
|
Test the problem
|
Number of targets
|
Hybrid adaptive algorithm
|
|
Average value
|
Least value
|
Variance
|
|
Dtlz6
|
2
|
2.10e-01
|
2.10e-01
|
2.65e-08
|
|
3
|
4.33e-02
|
4.51e-02
|
6.34e-07
|
|
4
|
3.61e-04
|
2.71e-03
|
4.94e-07
|
|
5
|
5.22e-07
|
2.42e-05
|
1.17e-11
|
|
8
|
0
|
0
|
0
|
|
10
|
0
|
0
|
0
|
The improved adaptive hybrid mutation operator integrated into the NSGA-III algorithm
demonstrates significant advancements over the traditional fixed single mutation operator,
particularly in terms of distribution and convergence indices. Statistical analysis
reveals that the enhanced algorithm outperforms the traditional approach in approximately
69% of the test functions, compared to only 31% for the conventional algorithm, indicating
that the improved method is more effective in addressing optimization problems with
unknown characteristics. Variance analysis from 20 experiments shows that the enhanced
algorithm exhibits lower variability in over half of the problems tested, suggesting
greater stability and consistency in converging to an optimal Pareto front. Notably,
the improved algorithm excels in DTLZ 1, DTLZ 3, DTLZ 4, and DTLZ 6, while demonstrating
comparable performance in other DTLZ instances. Additionally, it maintains better
distribution in certain specialized problems. The algorithm showcases superior performance
in linear problems and those with local optima adjacent to global optima, although
it does not consistently outperform traditional methods across all problem types.
Both HV and IGD metrics reveal similar overall performance for NSGA-III; however,
the improved algorithm shows more than double the effectiveness of the traditional
approach, despite higher variance in HV results (See Fig. 3). This paper introduces a parallel algorithm that enhances computational efficiency
for high-dimensional multi-objective optimization by 3-4 times compared to standard
serial methods, indicating potential for further improvement.
Fig. 3. Integration diagram of the performance optimization components.
4. Implementation of Supply Chain Finance System based on NSGA-parallel Algorithm
At present, China’s supply chain finance application market scale is unprecedented,
and has broad prospects for development. However, the traditional centralized structure
of supply chain finance leads to the lack of smooth credit transmission mechanism
of supply chain and the high cost of business audit. This section design to alliance
chain as the underlying NSGA-network technology architecture of supply chain financial
services model, the purpose is to combine the alliance chain technology and supply
chain finance business, build a underlying for distributed NSGA architecture of supply
chain financial services platform, makes the business flow, logistics, capital flow
information through multiple node authentication on the chain. When small and medium-sized
enterprises finance, they submit financing applications through the platform system,
core enterprises confirm accounts receivable and credit lines on the system, and banks
and other financial institutions can directly query and review credible data on the
chain and authorize lending through the system. The whole process operation, due to
the efficient coordination and transparency of information, greatly reduces the complexity
and time-consuming degree of the business process. The model should have the following
characteristics: Data traceability: When a transaction occurs between enterprises
in the supply chain, the transaction record is entered into the blockchain in real
time. Fig. 4 shows the NSGA-III parallel algorithm framework diagram, which makes all transactions
traceable and reviewed, so as to realize the traceability of supply chain finance
business data. Low consumption storage: NSGA-chain capacity is relatively limited,
and the large magnitude of business data such as logistics business flow will make
the storage cost of NSGA each node high. This model should provide the function of
low-consumption security storage for large magnitude data chain. Privacy protection:
the essence of business is information asymmetry, and trade secrets are what every
enterprise does not want to expose. Whether in the traditional or the supply chain
finance ecology under the NSGA-model, enterprises do not allow their confidential
information to be obtained by irrelevant enterprises or even their competitors. Therefore,
the model should provide the privacy protection of the data on the chain. Scalability:
A system based on this model should have good scalability. Considering the possibility
of version upgrade and service update of the system, each module in the model needs
to ensure low coupling, thus supporting the addition of new modules without affecting
the current system.
Fig. 4. Framework diagram of the NSGA-III parallel algorithm.
After the core enterprises reach the purchase intention with the SMEs of multi-level
suppliers, The two parties shall coordinate and formulate a procurement contract,
And sign the contract with the digital certificate issued by the regulatory agency
CA; After the small and medium-sized enterprises confirm the order contract, Update
the order status, Encrypted the contract information and debt credentials to the core
enterprise node, Save to the IPFS; PFS return address, Save the returned address in
the alliance chain, Realize the business flow data upper chain; Realize on the logistics
chain; After the payment of accounts receivable by the core enterprise, Deposit the
capital flow information into the alliance chain, Realize the capital flow on the
chain; SMEs initiate financing requests from financial institutions, Enter in the
transaction ID written into the contract; After the financial institution receives
the financing application, Use the transaction ID to query the corresponding block
information. Debt credentials and other information to view and review, conduct a
risk assessment; After the evaluation by the financial institutions, if SMEs meet
the credit conditions for financing and lending, Confirm the loan amount, the financing
process into the alliance chain; besides, the financing account contract specifies
the repayment conditions, When the conditions are met, Auto-trigger the contract,
Settlement and settlement of assets. The hierarchical architecture of supply chain
finance service model based on NSGA-is proposed and analyzed, so that each main enterprise
or institution in the supply chain can make full use of the technical characteristics
of multi-center alliance chain, traceability, untouchable and distributed storage,
and use supply chain finance service efficiently and reliably without perception.
The user interface for supply chain finance services is built on the LayUI framework,
while the backend utilizes the Spring Boot framework to provide various functionalities
within the NSGA supply chain finance system. This encompasses both traditional supply
chain finance and features from the alliance chain system. Key functionalities include
user and enterprise management, logistics processing, business flow processing, capital
flow processing, and financing. As part of the NSGA system, the NSGA management features
include node management, channel management, contract deployment and upgrades, block
data querying, and business data chain operations. The security layer employs encryption
algorithms and privacy protection technologies, along with unique channel isolation
and private data sets from the fabric system, ensuring robust data security for supply
chain financial services. The NSGA engine layer serves as a bridge between the NSGA
network and business layers, reducing system coupling and enhancing user experience.
It encapsulates alliance chain network functions and exposes them as RESTful interfaces,
covering channel management, contract management, transaction execution, and block
querying. Smart contracts, which are program code deployed on the NSGA network, are
invoked by the business layer through the NSGA engine layer to execute various business
logic on the NSGA ledger. The system contract operates on the NSGA node for block
configuration verification, while user contracts, generated by regulators, run in
Docker containers and interact with the NSGA node using the gRPC protocol to manage
ledger data. All supply chain finance services are facilitated through these user
contracts, which are stored in the contract layer, including data chains and queries
for business processes.
The network layer is the basis of information transmission of this model, adopts the
multi-channel architecture of Fabric alliance chain combined with IPFS cluster to
build the network in the system. NSGA-nodes are divided into various roles: Client,
Peer and Orderer, realize authentication based on TLS, realize P2P communication with
gRPC, support multi-channel to realize data isolation and protection, and serve sorting
nodes using Raft consensus protocol. In this model, the storage layer is business
data and operational data in supply chain finance. There are four main storage systems
in this layer, including IPFS storage system, NSGA-ledger, relational database, and
Docker. IPFS and NSGA-Responsible for securely storing the business data and operational
data generated by users. The relational database is a supporting component for the
normal operation of the business layer. When the contract is first deployed, a Docker
mirror is generated to store the instantiated contract.
5. Experiment Analysis
NSGA-books has the characteristics of open and transparent, this feature in the NSGA-traceable
verification function at the same time, also bring data privacy security problems,
Fig. 6 for the data warehouse assessment, especially in the financial sector.
Fig. 5. Comparison diagram of the interaction diagram between the system modules.
Fig. 6. Data Warehouse evaluation diagram.
Fig. 7. Real-time data analysis and evaluation.
Therefore, the privacy protection of NSGA-has a profound practical significance. According
to the general hierarchical architecture of NSGA-, the paper divides the current research
of NSGA-privacy protection scheme into the following three categories, namely, the
privacy protection of the network layer, transaction layer and application layer of
NSGA-. The privacy protection of the network layer is against the malicious nodes
in the network to prevent their monitoring and malicious access of NSGA-; Fig. 7 shows the real-time data analysis and evaluation diagram of the transaction layer
protects the cryptographic data of NSGA-ledger, and hides the confidential data on
NSGA-to protect its privacy.
The privacy protection of the application layer aims at the irregular operation of
users, and the privacy protection of this level is realized by using the better complete
NSGA platform. Data owners: Data owners mainly refer to the core enterprises and small
and medium-sized enterprise users in supply chain finance. Fig. 8 shows the evaluation diagram of the iterative process of NSGA-III algorithm. so that
financial institutions and regulatory agencies can review them when applying for financial
services in the future.
Fig. 8. NSGA-III algorithm.
Data owners can develop access control strategies that prevent their competitors from
accessing their business data. Data requ: Data requester mainly refer to users of
financial institutions and regulatory agencies in supply chain finance. When SMEs
initiate a financing application, financial institutions will request their historical
transaction data from the alliance chain. Fig. 9 is a comparison chart of multi-objective optimization results to review their financing
qualification. The data requester needs to access the data through the access policy
developed by the data owner.
Fig. 9. Comparison of multi-objective optimization results.
This section details the specific process of NSGA-data access based on IPFS and access
control, combined with Fabric-CA to design the NSGA-data access core algorithm based
on access control and IPFS on Timely CP-ABE scheme. Fig. 10 shows the response time distribution diagram of the system. This model improves it.
Since the data requesters in the supply chain finance business generally only need
to request the latest transaction data, the access control of the time factor in the
scheme is disclosed in the block ledger. In order to protect the data privacy in the
paper, the encrypted symmetrical key is stored in the NSGA-to ensure the privacy security
of the data.
Fig. 10. The system response time distribution diagram.
Business data storage: after signing a contract between enterprises in the supply
chain, enterprise users as data owner, will develop the data access strategy P, and
write the NSGA, access strategy corresponding strategy tree for T, makes only financial
institutions and regulators can access to its business data, the competition enterprise
have no access, implements the data privacy protection. Fig. 11 is the monitoring diagram of resource utilization and utilization. Due to the poor
encryption and decryption efficiency of the ABE mechanism, the data owner in this
scheme does not directly use ABE encryption for the original data.
Fig. 11. Monitoring diagram of resource utilization.
6. Conclusion
In the joint simulation optimization platform constructed by using the NSGA-III algorithm,
in the calculation examples of the four-objective optimization of representative profiles,
The limit plane can be constructed stably, By comparison with the conventional NSGA-II
algorithm, Mapping solution set by 3D radial coordinate Pareto front, The solution
set obtained by the NSGA-II algorithm fits that expected for only one set of isolated
solutions, However, the NSGA-III algorithm has a more uniform distribution of solution
sets, The optimization schemes to meet the expectations are richer; By the hybrid
adaptive algorithm in comparison with the original algorithm, The improved algorithm
showed better distribution and convergent comprehensive performance on different test
functions and evaluation indexes, The number of problems that improved the algorithm
performed better in the mean and minimum of all test functions was approximately 69%,
Compared with only 31% of the traditional algorithms, In the practical engineering
problems, Pareto When the distribution of the sets is unknown, The improved algorithm
can provide a better probability of solution set;
Demonows the change process on 4 targets between both algorithms during the optimization
process, After the solution set reaches the Pareto front in multi-objective optimization,
it indicates that there are no four solutions for the optimization problem at the
same time, The target average part reflects the distribution of the knowledge set
over that target, The solution set mean change process indicates that the NSGA-II
algorithm in the optimization process because of its crowding degree, In the other
three targets, where the change trend was more consistent, For the fourth goal, the
large proportion of quality allocation, The other 3 objectives were sacrificed during
the optimization process in order to optimize the quality, among, The mean fitness
values of the top 3 targets increased by 61.2%, 36.6%, and 6.0%, respectively, The
mean mass value decreased by 13.1%; While the NSGA-III focuses more on the balance
between the four targets, After an iterative selection, More search of solutions near
the reference point after the number of governed solutions drops to 0, So the mean
value did not change much, By 2.3%, 0.4% during stress, The frequency mean value was
reduced by 15.4%, The mass mean value was increased by 1.9%, Although the mean of
three of these targets was elevated during the iteration, But both did not rise much,
It shows that the algorithm promotes other targets with solutions at the expense of
one of the targets, But there are also solutions that sacrifice other targets to optimize
that target and the distribution of these two solutions is averaged during the search
process so the mass average does not change much, In contrast to the other algorithm,
NSGA, NSGA-the displacement mean increased to 61.2% during the search, Suggesting
that the target sacrifices more during the search, The NSGA-algorithm is too extreme.
Conflict of Interest
The author declares that there is no conflict of interest in the article.
References
Adnan M., Habib A., Ashraf J., Mussadiq S., Raza A., 2021, Scaffolding computer programming
languages learning with tailored English vocabulary based on learners' performance
states, EAI Endorsed Transactions on Scalable Information Systems, Vol. 21, No. 30

Tumaini K., Ilias P., Håkon O. D., 2021, AI-enabled adaptive learning systems: A systematic
mapping of the literature, Computers and Education: Artificial Intelligence, Vol.
2

Du L., Cui Z., 2021, Self-adaptive network structure tuning method based on NSGA-III,
International Journal of Computing Science and Mathematics, Vol. 13, No. 1, pp. 54-63

Tian Z., Han W., Powell W. B., 2021, Adaptive learning of drug quality and optimization
of patient recruitment for clinical trials with dropouts, Manufacturing Service Operations
Management, Vol. 24, No. 1

Cho S., Zhang F., Edwards C. R., 2021, Learning and detecting abnormal speed of marine
robots, International Journal of Advanced Robotic Systems, Vol. 18, No. 2

Mohit-Ghiri Z., Mohammadi A., Mirghaderi S.-H., 2021, Many-objective x-bar control
chart using hybrid NSGA-III and DEA, International Journal of Quality Engineering
and Technology, Vol. 8, No. 2, pp. 201-217

Vyas V. S., Kemp B., Reid S. A., 2021, Zeroing in on the best early-course metrics
to identify at-risk students in general chemistry: An adaptive learning pre-assessment
vs. traditional diagnostic exam, International Journal of Science Education, Vol.
43, No. 4, pp. 552-569

Pugh N., Park H., Derjany P., Liu D., Namilae S., 2021, Deep adaptive learning for
safe and efficient navigation of pedestrian dynamics, IET Intelligent Transport Systems,
Vol. 15, No. 4, pp. 538-548

Reinstein I., Hill J., Cook D. A., Lineberry M., Pusic M. V., 2021, Multi-level longitudinal
learning curve regression models integrated with item difficulty metrics for deliberate
practice of visual diagnosis: Groundwork for adaptive learning, Advances in Health
Sciences Education, Vol. 26, pp. 881-912

Wang M., Wang Y., 2021, Research on English teaching information pushing method based
on intelligent adaptive learning platform, International Journal of Continuing Engineering
Education and Life Long Learning, Vol. 31, No. 2, pp. 133-151

Mauersberger F., 2021, Monetary policy rules in a non-rational world: A macroeconomic
experiment, Journal of Economic Theory, Vol. 197

Bozkurt A., Karadeniz A., Baneres D., Guerrero-Roldán A. E., Rodríguez M. E., 2021,
Artificial intelligence and reflections from educational landscape: A review of AI
studies in half a century, Sustainability, Vol. 13, No. 2

di Pace F., Mitra K., Zhang S., 2021, Adaptive learning and labor market dynamics,
Journal of Money, Credit and Banking, Vol. 53, No. 2-3, pp. 441-475

Ganapathy N., Swaminathan R., Deserno T. M., 2021, Adaptive learning and cross training
improves R-wave detection in ECG, Computer Methods and Programs in Biomedicine, Vol.
200

Jepkoech J., Mugo D. M., Kenduiywo B. K., Too E. C., 2021, The effect of adaptive
learning rate on the accuracy of neural networks, International Journal of Advanced
Computer Science and Applications (IJACSA), Vol. 12, No. 8

Seng D., Li B., Lai C., Wang J., 2021, Adaptive learning user implicit trust behavior
based on graph convolution network, IEEE Access, Vol. 9, pp. 108363-108372

Guo C., Ye C., Ding Y., Lin Z., Wang P., 2020, Risk-based many-objective configuration
of power system fault current limiters utilizing NSGA-III, IET Generation, Transmission
& Distribution, Vol. 14, No. 23, pp. 5646-5654

Guan M., Xu T., Gao F., Nie W., Yang H., 2020, Optimal walker constellation design
of LEO-based global navigation and augmentation system, Remote Sensing, Vol. 12, No.
11

Dao D. N., Guo L.-X., 2019, New hybrid NSGA-III & SPEA/R to multi-object optimization
in a half-car dynamic model, Proceedings of the Institution of Mechanical Engineers,
Part D: Journal of Automobile Engineering, Vol. 234, No. 6

Wu X., Li J., Shen X., Zhao N., 2020, NSGA-III for solving dynamic flexible job shop
scheduling problem considering deterioration effect, IET Collaborative Intelligent
Manufacturing, Vol. 2, No. 1, pp. 22-33

Gupta A., Singh D., Kaur M., 2020, An efficient image encryption using non-dominated
sorting genetic algorithm-III based 4-D chaotic maps, Journal of Ambient Intelligence
and Humanized Computing, Vol. 11, pp. 1309-1324

He S., Dong S., Zhao N., 2020, Research on rush order insertion rescheduling problem
under hybrid flow shop based on NSGA-III, International Journal of Production Research,
Vol. 58, No. 4, pp. 1161-1177

Sang Y., Tan J., W. Liu , 2020, Research on many-objective flexible job shop intelligent
scheduling problem based on improved NSGA-III, IEEE Access, Vol. 8, pp. 157676-157690

Xue X., Lu J., Chen J., 2019, Using NSGA-III for optimizing biomedical ontology alignment,
CAAI Transactions on Intelligence Technology, Vol. 4, No. 3, pp. 135-141

Medina G. Y. P., Siller E. G. C., Pérez A. F. M., Garces R. S., 2019, Mechanical properties
and depth penetration optimization using NSGA-III in hybrid laser arc welding, MRS
Advances, Vol. 4, pp. 3053-3060

Liu C., Wang H., Tang Y., Wang Z., 2021, Optimization of a multi-energy complementary
distributed energy system based on comparisons of two genetic optimization algorithms,
Processes, Vol. 9, No. 8

Mwiya R. M., Zhang Z., Zheng C., Wang C., 2020, Comparison of approaches for irrigation
scheduling using aquaCrop and NSGA-III models under climate uncertainty, Sustainability,
Vol. 12, No. 18

Ma W., Wang R., Gu Y., Meng Q., Huang H., Deng S., Wu Y., 2021, Multi-objective microservice
deployment optimization via a knowledge-driven evolutionary algorithm, Complex Intelligent
Systems, Vol. 7, pp. 1153-1171

Mauro N., Cena F., Putnam C., Pera M. S., Álvarez D. R., 2024, Introduction to this
special issue on intelligent systems for people with diverse cognitive abilities,
Human-Computer Interaction, Vol. 39, No. 1-2

Wu X., Gu Y., Lin L., Zheng W., Chen X., 2024, ISTA+: Test case generation and optimization
for intelligent systems based on coverage analysis, Science of Computer Programming,
Vol. 234

Author
Liu Chang is a postgraduate student with a master’s degree, graduated from Inner Mongolia
University of technology. He is now the head of the Department of network engineering,
College of Cyberspace Security, Hebei University of engineering science. During his
tenure, he presided over the establishment of the network engineering specialty and
successfully built it into a first-class specialty at the university level, and published
many high-level academic articles in the field of computer artificial intelligence,
with many years of research and teaching experience in the field of computer science.
Chen Xiao holds a master’s degree from Yan’an University and is a full-time faculty
member at Hebei University of Engineering Science. Committed to education, she delivers
engaging, research-driven instruction, fostering critical thinking and practical skills
in students. Her approach aligns with the university’s goal of nurturing future leaders.
Chen Xiao inspires growth through her expertise and dedication.
Liu Haijing received her master’s degree from the School of Mechanical Engineering,
Dalian University of Technology, and she is is currently working in intellectual property
press Co., Ltd. As Senior Conference Operations Manager at Intellectual Property Press
Co., Ltd., she leads China’s Annual Intellectual Property Conference, a global IP
innovation hub. Her work spans conference management, cross-domain collaboration,
and full-chain IP services, fostering international partnerships and advancing China’s
global IP influence.